
2022-07-28
色谱分析的重要作用之一是对样品进行定量,色谱定量的依据是:组分的重量或浓度与检测器的响应信号成正比。选择合适的定量方法时,除需要考虑相对定量还是jue对定量外,同时也需要考察化合物的线性响应范围、是否有合适内标、是否有标准品等。常见的定量方法有内标法、外标法、面积归一法、加校正因子的主成分自身对照法与不加校正因子的主成分自身对照法等。本文将对更常用的内标法、外标法、面积归一法三种方法进行介绍。
内标法
内标法是将一定重量的纯物质作为内标物加到一定量的被分析样品混合物中,根据测试样和内标物的质量比及其相应的色谱峰面积之比及相对校正因子,来计算被测组分的含量。
精密称(量)取对照品和内标物质,分别配成溶液,各精密量取适量,混合配成校正因子测定用的对照溶液。取一定量进样,测量对照品和内标物质的峰面积,计算校正因子。

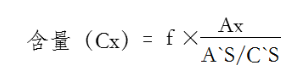
再取按标准制备中含内标物质的供试品溶液,进样,测量供试品中待测成分和内标物质的峰面积,再计算含量(其中Ax:供试品图中待测成份峰面积;A`S: 供试品图中内标物峰面积;C`S:供试品图中内标物浓度)。
![]()
内标物的选择要求:
a原样品中不含组分;
b与待测物保留时间应接近,但不重叠;
c为高纯度标准物质,或含量已知物质;
d在给定色谱条件下具有一定化学稳定性。
外标法
外标法是用待测组分的纯品作对照物质,以对照物质和样品中待测组分的响应信号相比较进行定量的方法。它不是把标准物质加入到被测样品中,而是在与被测样品相同的色谱条件下单独测定,把得到的色谱峰面积与被测组分的色谱峰面积进行比较求得被测组分的含量。此法可分为外标一点法与标准曲线法。
标准曲线法:是用对照物质配制一系列浓度的对照品溶液确定工作曲线,求出斜率、截距。在完全相同的条件下,准确进样与对照品溶液相同体积的样品溶液,根据待测组分的信号,从标准曲线上查出其浓度,或用回归方程计算,工作曲线法也可以用外标二点法代替。
外标一点法:是用一种浓度的对照品溶液对比测定样品溶液中组分的含量。
精密称(量)取对照品和供试品,配制成溶液,分别精密称取一定量,进样,测量对照品溶液和供试品溶液中待测物质的峰面积(或峰高)来进行计算:
![]()
如标准中有系统适用性要求,首先需确认系统溶液能满足条件,否则检测无效。一般要求对照品配制两份,一份连续进5针以计算RSD,如无特殊要求,RSD不超过2%。符合了,说明系统没问题,再进行后面的实验。样品也同样需要配制两份,两份样品更终结果的RSD同样不能超过2.0%。
面积归一法
由于组分的量与其峰面积成正比,按各品种项下的规定,配制供试品溶液,取一定量进样并记录色谱图,测得各峰的峰面积和色谱图上除溶剂峰以外的总色谱峰面积,计算各峰面积占总峰面积的百分比。
计算公式:
总杂(%)=1-主成分峰面积百分比
单杂峰直接从积分结果表中读取即可
此法结果很不准确,一般在工艺研究、原料合成过程中的中间体等中用来检测大致数据做参考用。