
2022-09-23
众所周知,色谱法能解决那些物理常数相近,化学性质类似的同系物、异构体等复杂多组分混合物的分离分析问题,既能鉴定化合物又能做定量测定。色谱法是根据色谱峰的面积或高度进行定量分析的。色谱定量计算方法很多,目前比较广泛应用的有归一化法、内标法和外标法三种。今天就由小编给大家简单分享一下色谱法中常用的几种定量方法。
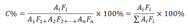
归一化法 由于组分的量与其峰面积成正比,如果样品中所有组分都能产生信号,得到相应的色谱峰,那么可以用如下归一化公式计算各组分的含量。 式中:C表示含量 F表示校正因子 A表示峰面积 若样品中各组分的校正因子相近,可将校正因子消去,直接用峰面积归一化进行计算。中国药典用不加校正因子的面积归一化法测定药物中各杂质及杂质的总量限度。 优点: 1.简单、快速的定量过程; 2.进样量不要求严格。 缺点: 1.所有组分峰都要流出; 2.需测量所有的组分; 3.必须校正所有的峰。 内标法 选择样品中不含有的纯物质作为对照物质加入待测样品溶液中,以待测组分和对照物质的响应信号对比,测定待测组分含量的方法称为内标法。“内标”的由来是因为标准(对照)物质加入到样品中,有别于外标法。该对照物质称为内标物。 在一个分析周期内不是所有组分都能流出色谱柱(如有难气化组分),或检测器不能对每个组分都产生信号,或只需测定混合物中某几个组分的含量时,可采用内标法。 准确称量W克样品,再准确称量Ws克内标物,加入至样品中,混匀,进样。测量待测组分i的峰面积Ai及内标物的峰面积As,则i组分在W克样品中所含的重量Wi,与内标物的重量Ws,有下述关系: 待测组分i在样品中的百分含量C%为: 对内标物的要求: 1.内标物是原样品中不含有的组分,否则会使峰重叠而无法准确测量内标物的峰面积; 2.内标物的保留时间应与待测组分相近,但彼此能完全分离(R≥1.5); 3.内标物必须是纯度合乎要求的纯物质。 优点: 1.在进样量不超限(色谱柱不超载)的范围内,定量结果与进样量的重复性无关。 2.只要被测组分及内标物出峰,且分离度合乎要求,就可定量,与其他组分是否出峰无关。 3.很适用于测定药物中微量有效成分或杂质的含量。由于杂质(或微量组分)与主要成分含量相差悬殊,无法用归一化法测定含量,用内标法则很方便。 缺点:加一个与杂质量相当的内标物。加大进样量突出杂质峰,测定杂质峰与内标峰面积之比,即可求出杂质含量。但样品配制比较麻烦和内标物不易找寻。 外标法(校正曲线法 校正因子求算法) 外标法是指按梯度添加一定量的标准品(对照品)于空白溶剂中制成对照样品,与未知试样平行地进行样品处理并检测。不同浓度的标准品进样,以峰面积为值绘制成标准曲线,从而推算出未知试样中被测组分浓度的定量方法外标法在操作上可分为校正曲线法和校正因子求算法。 校正曲线法:取纯物质配成不同浓度的标准溶液,利用色谱仪作出峰面积和浓度的关系标准曲线。通过标准曲线直接查出待测组分浓度。 校正因子求算法:是将标样多次分析后得到响应信号与其含量求出它的jue对校正因子,再根据公式求出待测样品中的含量。 式中:C表示含量 F表示校正因子 A表示峰面积 优点:操作和计算简便,无需所有峰都能被检测到。 缺点:进样量必须准确,仪器要求具有良好的稳定性。



